钢丝绳吊索

Q2起重机械电气安装维修 • 2023-07-14 • 10+ 浏览


钢丝绳吊索

 

一、一般用途钢丝绳吊索

一般用途钢丝绳吊索是由单肢或多肢钢丝绳吊索和配件组配而成,适用于多种用途的以钢丝绳为主体的提升吊索。

《一般用途钢丝绳吊索特性和技术条件》(GB/T 16762—2020)适用于单肢吊索和多肢组装吊索,以及选用钢丝编产品标准中直径不大于150mm 的单层圆股纤维芯或钢芯钢丝绳制造的吊索。

钢丝符合《不锈钢丝绳(GB/T 9944—2015)、《钢丝绳通用技术条件》(GB/T 20118—2017)、《粗直径钢丝绳》(GB/T 20067—2017)、《重要用途钢丝绳》(GB/T 8918—2006)《起重机用钢丝绳(GBT 34198—2017)标准中规定的单层圆股纤维芯或钢芯钢丝绳的要求,但不包括多层股钢丝绳和异形股钢丝绳。钢丝绳公称抗拉强度应不大于1960MPa

《索具 术语及分类》(YB/T 4536—2016)界定的以下术语和定义适用于《一般用途钢丝绳吊索特性和技术条件》(GB/T 16762—2020

1)额定工作载荷∶ 吊具在一般使用条件下,由特定吊挂方式允许承受的最大载荷。

2)主吊环∶ 吊索的上端,连接索具与起重机或其他吊装工具的环状部件。主吊环可以是长形环、圆形环或梨形环。

3)中间环∶ 用于三肢或三肢以上的组装吊索,将单肢或多肢吊索与主吊环连接的环状部件。中间环可以是长形环或梨形环。

4)索扣索具末端固结形成的环形端头。

5)软索扣将钢丝绳末端弯成索扣状,其索扣内为自然状态,不带套环的形式,见表4-8

6)硬索扣∶ 将钢丝绳末端弯成索扣状,其索扣内带套环的形式,见表4-8

7)公称长度钢丝绳吊索在无载荷状态下,两个实际工作承载点(含端配件)之间的距离。

1. 单肢吊索

1)单肢吊索及末端端配件类型见表4-8

 

图片


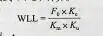
2)单肢吊索额定工作载荷按式(4-2)计算。

 å›¾ç‰‡


式中       WLL——吊索额定工作载荷,t

                Fo——钢丝绳最小破断拉力,kN

                Ke——接头形式效能近似系数,压制接头取0.9,插接接头取0.75。 

                Ku——安全系数,一般取5

                Km——吨(t)与千牛(kN)的换算系数,9.80665 kN/t

经供需双方协调,可选取不同的 Ke值或Ku值,并应在合同中注明确切数值。 

2.多肢组装吊索

1)多肢组装吊索的结构。多肢组装吊索由多个单肢吊索组合而成,各肢吊索的规格结构及公称抗拉强度级应相同。

两肢组装吊索由两个单肢吊索的上端用一个主吊环连接而成;三肢组装吊索中的两肢由一个中间环与主吊环连接,另一肢应由第二个中间环连接;四肢组装吊索的其中两肢应由一个中间环与主吊环连接。多肢组装吊索结构如图4-3 所示。

 

图片


2)多肢组装吊索长度允许偏差。吊索实测长度和公称长度的差值应不大于钢丝绳公研直径的2倍,或不大于规定长度的0.5%,二者之中取大值。多肢组装吊索中各单肢吊索长度间的差值应不大于钢丝绳公称直径的1.5 倍、或不大于规定长度的0.5%,二者之中取大值。

3)多肢组装吊索的额定工作载荷。由对称分布的与垂直方向具有相同角度的单肢吊索组成的多肢吊索的工作载荷按式(4-3)计算。

图片

式中   WLL——-吊索额定工作载荷,t

                    Fo——钢丝绳最小破断拉力,kN

                   Ke——接头形式效能近似系数,压制接头取0.9,插接接头取0.75

                 K——肢的数建与垂直方向角度的相关系数(即额定工作载荷计算系数),见表4-9.。 

                   Ku——安全系数,一般取5

                   Km——吨(t)与千牛(kN)的换算系数,9.806 65 kN/t

经供需双方协调。可选取不同的 Ke值或 Ku值,并应在合同中注明确切数值。

 

图片


单肢吊索与竖直方向之间的夹角β应不大于60°,两肢组装吊索相对应的吊索夹角α应不大于120°,多肢组装吊索的夹角示意如图4-4所示。


图片


3.工作环境温度对钢丝绳吊索额定工作载荷的影响

工作环境温度(T)对钢丝绳额定工作载荷的影响见表4-10。


图片


4.钢丝绳吊索的运输和贮存

1)在装运卷绕包装和分组捆扎的吊索时,应使用有效的起重工具,严禁从高处摔丢及在地面上拖动,以免损伤吊索。

2)搬运时,应使用运输工具,避免在地上拖拽。

3)吊索贮存前,应清除表面污渍,并涂上油脂。

4)对于沾有严重腐蚀性物品的吊索,每次使用后必须清洗干净,涂上适量油脂后存放。

5)吊索应贮存在通风、干燥场所,避免阳光直射、热气烘烤和接触酸、碱等具有腐蚀性的物质。

6)吊索应分类卷绕放置在垫板或悬挂在货架上,不应混杂存放。

 

二、钢丝绳吊索的端配件

钢丝绳吊索端配件包括吊环、卸扣、环眼吊钩,这些端配件应符合相关国家标准的规定。

1.吊环

《港口装卸用吊环使用技术条件》(GB/T 14736—2009)适用于港口装卸用索具组合部件截面为圆形的焊接吊环,也适用于圆形截面热模锻吊环,不适用于非圆形截面的吊环和铸造吊环。

吊环是港口装卸用索具的组合部件,分主环和连接环。

吊环的连接型式如图 4-5 所示。

 

图片


吊环的使用要求如下

1)用于组成链式吊索、钢丝绳吊索、纤维绳吊索的主环宜采用长形环,连接环应采用长形环。

2)与单只吊环直接连接的吊索数不应多于三肢,四肢吊索与主环的连接应采用连接型式中的型。

3)出现伤痕或显著锈蚀的吊环再利用。应按 港口装卸用吊环使用技术条件》(GB/T14736—2009)中8.2 的规定进行强度检验

4)不应将有缺陷的吊环焊补后重新使用

5)无标记的吊环未经确认,不应使用。

6)与链条连接的连接环,其环材直径应与链材直径相匹配。

7)不应采用锤击的方法纠正已扭曲的吊环

8)不应抛掷吊环。

9)不应从重物下面拉拽吊环或让重物在吊环上滚动。

10)不宜用卸扣代替连接环。

11)现场更换装卸工索具中的连接环,允许使用装配式连接环,装配式连接环的形状和额定载荷应符合吊索额定载荷的要求

12)吊环在借用、归还、整理工具保管上架时和使用过程中应检查,发现问题立即停止使用。

13)吊环应定期检查,并做好相应的检查记录。

14)吊环的检查项目及报废要求见表4-11

 

图片


2.卸扣

卸扣是由扣体和销轴两个易拆零件装配成的组合件。

《一般起重用D形和弓形锻造卸扣》(GB/T25854—2010)规定了强度级别为4级、6级和8D形和弓形卸扣的一般特征、性能及与其他零件互换和配合所需的关键尺寸,适用于极限工作载荷为0.32100t D形和弓形锻造卸扣。

形卸扣如图4-6 所示,弓形卸扣的扣顶形状如图4-7 所示。

卸扣的使用与维护要求如下


图片


1)卸扣横向间距不允许受拉力。为防止卸扣横向受力,在连接绳索或吊环时,应将其中一根套在横销上,另一根套在弯环上,不准分别套在卸扣的两个直段上面。

2安装卸扣部件时应按照正确的安装步骤和方法,避免由于安装失误造成卸扣早期磨损严重。

3)严禁超出额定载荷作业。

4)轴销一定要插好保险销。不准使用横销无螺纹的卸扣。如需使用,要有可靠的保障措施,以防止横销滑出。

5D形卸扣与符合《4级链条用锻造环眼吊钩》(GBT24812—2009)和《带安全锁闭装置的8级钢制锻造起重吊钩》(GB/T24813—2018规定的锻造吊钩一起使用时,可用一个中间

6)作业过程中应避免让卸扣部件出现严重摩擦、疲劳损坏、变形等异常情况。

7)起吊作业完毕后,要及时卸下卸扣,并将横销插入弯环内,上满螺纹,以保证卸扣完整无损。

8)卸扣上的螺纹部分,要定时涂油,保证其润滑不生锈。

9)卸扣要存放于干燥的地方,并用木板将其垫好。

 3.环眼吊钩

级链条用锻造环眼吊钩》(GB/T 24812—2009)和《带安全锁闭装置的8级钢制锻造起重吊钩》(GB/T 24813—2018)分别规定了4级链条和8级链条用钢制锻造环眼吊钩的技术要求。

环眼吊钩的型式不作具体规定,只规定吊钩的环眼可用于穿过销轴,但环眼可以是非圆形的。环眼吊钩(带闭锁装置)如图 4-8 所示。


图片


环眼吊钩应采用不影响其机械性能的方法做出清晰的永久性标志,包含与吊钩配用的链条名义尺寸、代表强度级别的数字等信息。

环眼吊钩应按锻造吊钩标准的要求使用、维护保养及

 

三、钢丝绳绳端套管压制索具

《钢丝绳绳端 套管压制索具》(GB/T 30589—2014)适用于公称直径不大于150 mm、钢丝绳强度级别不大于1960 MPa 的套管压制索具。套管压制索具如图4-9 所示。

 

图片


套管压制索具可分为环状索具和柔性索具

钢丝绳应符合《重要用途钢丝绳》(GB 8918—206)、粗直径钢丝绳》(GBT 20067—2017)、《压实钢丝绳》(YB/T 4398—2014)和《压实股钢丝绳》(YBT 5359—2010)的规定,强度级别应不高于1960 MPa,基本类型为单层股钢丝绳,阻旋转钢丝绳、平行捻密实钢丝绳和单股钢丝绳。

套管材料应当是碳素钢或铝合金。碳素钢应当符合优质碳素结构钢》(GB/T 699—2015)的规定;铝合金管采用5系铝镁合金,并应当采用《铝及铝合金热挤压管 第1部分无缝圆管》(GB/T 4437.1—2015)规定的无缝热挤压工艺或锻造工艺。

铝套管压制折回式索扣,当使用纤维芯钢丝绳时、温度极限为-40100 ℃;当使用钢芯钢丝绳时,温度极限为-40150 ℃

钢套管压制对缠式索扣的钢丝绳应是6×376×19类,强度级别不大于1 960 MPa,钢芯或纤维芯的钢丝绳。当使用纤维芯钢丝绳时。温度极限为-40100 ℃;当使用钢芯钢丝绳时,温度极限为-40 150 ℃

 

四、钢丝绳吊索插编索扣

插编索扣是将绳股末端反向插人钢经纯主体内,在钢丝绳端部构成一个环孔或环眼。

《钢丝绳吊索 插编索扣》(GB/T 16271—2009)适用于折回式、对插式手工插编和机械插编的六股钢丝绳吊索的索扣。

插编所使用的钢丝绳类型为《重要用途钢丝绳》(GB 8918—2006)规定的交互捻纤维芯或金属芯钢丝绳,但单股钢丝绳、异形股钢丝绳和多层股钢丝绳除外。钢丝绳的钢丝公称抗拉强度应为15701770 MPa

手工插编的索扣按插编方法分为折回式和对插式。折回式是将绳端折成环状,需要插编的绳股分别穿过本体钢丝绳而所构成的环眼;对插式是将绳端分成两部分,每部分都朝相反方向捻在一起,构成对称于钢丝绳轴线的环眼。插编的索扣如图4-10 所示。


图片


插编索扣的要求如下

1)实际破断拉力应不小于相应钢丝绳最小破断拉力的75%

2)在单根吊索中,两端索扣的插编部位末端的最小距离一般不小于钢丝绳公称直径的15倍,吊索之间最小净长度不得小于该吊索钢丝绳公称直径的40位,索内侧长度至少应为钢丝绳公称直径的10 倍。

3)环形插接连接吊索的最小周长,应不小于该吊索钢丝绳公称直径的 96 倍。

4)索扣插编部分的绳芯不应外露,各股要紧密,不能有松动的现象。插编后的绳股切头要平整,不应有明显的钮曲。

 

五、钢丝绳环索

钢丝绳环索是一根连续长度的钢丝绳股围绕特定的环形芯,按照规定的捻距循环缠绕 6 圈而成的环形绳索,如图 4-11所示。

 

图片


《钢丝绳吊索 环索》(GB/T 30587—2014)适用于钢丝绳索体直径不大于696 mm的吊装用环索。

环索应选用纤维芯或金属芯、公称抗拉强度不大于1670 MPa 的交互捻钢丝绳(不包括单股钢丝绳、多层股钢丝绳和异形股钢丝绳)或钢丝绳的拆成股制造,并应符合《重要用途钢丝绳》(GB 8918—2006)或《粗直径钢丝绳》(GB/T20067—2017)的规定。索体的钢丝绳股或钢丝绳不应出现钢丝挤出、外层磨损、表面断丝等缺陷。

直径大于60 mm 的环索不用于一般提升作业,而使用在根据设计、结构、使用频率等而确定的特殊作业中。

通常计算或测定的负载质量具有较高的精确性,环索用于一次或有限次吊装。使用环索吊装操作应在指挥者的指挥下慢速起吊。

1. 环索的安全工作载荷

环索的安全工作载荷按式(4-4)计算。

图片

式中        SWL——环索安全工作载荷,t

                CGBL——环索最小破断拉力[计算方法见式(4-5)、式(4-6)],kN

                 M——方式系数,见表4-12

                 Zm——吨(t)与千牛(kN)的换算系数,9.806 65 kN/t

                 Zp——安全系数,按以下情况选取环索公称直径d<60mmZp应不小于5; 60mm≤d≤150mm时,Zp=6.31-0.022d;d>150mm时,Zp应不小于3

 

图片


2.环索的最小破断力

1)钢丝绳环索的最小破断力按式(4-5)计算

 

CGBL1= 2 ×Fminl×K1

 

式中     CGBL1——钢丝绳环索最小破断拉力,kN

                          Fminl——纤维芯钢丝绳的最小破断拉力[计算方法见《重要用途钢丝绳》(GB8918—2006)或《粗直径钢丝绳》(GB/T 20067—2017)],kN

                          K1——钢丝绳环索的捻制损失系数,0.9

2)缆式环索的最小破断力按式(4-6)计算

  CGBL2= 12x Fmin2×K2

式中    CGBL2——缆式环索最小破断拉力,kN

                       Fmin2——钢丝绳的最小破断拉力[计算方法见《重要用途钢丝绳》(GB 8918—2006)或《粗直径钢丝绳》(GB/T 200672017)],kN

                       K2——缆式环索的捻制损失系数,0.85

 3. 环索的使用状况评估和报废

1)环索如果断丝总数超过钢丝绳钢丝总数的5%时,环索应停止使用,全面检验。

2)如果有根或根以上集中断丝,应进行强度评估。

3)环索腐蚀应停止使用,进行检验和判定。

4)出现因扭结、压扁、绳芯测散或打结造成的变形时应报废。如果不能区分有害变形和可以接受的变形,应停止使用。进行检验和判定。

5)如发现由电弧或过热引起的明显变色,应停止使用,进行检验和判定。

 

六、钢丝绳柱形压制接头

《钢丝绳柱形压制接头》(JG/T 5091—1997)适用于钢丝绳公称直径为1038 mm、公称抗拉强度不大于1770 MPa的圆股钢芯钢丝绳的接头,不适用于单股、异型股钢丝绳以及半密封型和密封型钢丝绳。

接头型式分为 4 ∶ 单板端柱形压制接头、叉板端柱形压制接头、螺柱端柱形压制接头和平端柱形压制接头,如图4-12 所示。

 

图片

接头接头的要求如下

(1)接头套管材料选用《优秀碳素结构钢》(GB/T 699—2015)、《低合金高强度结构钢》 GBT1591—2018)、《合金结构钢》(GB/T 3077—2015)中规定的抗拉强度≥ 500 MPa、收缩率≥ 40%、延伸率≥ 25% 的有关材料。

2接头压制后钢丝绳不得有任何损伤。接头不允许有裂纹,表面应光滑,无毛刺、飞边等缺陷。

3)接头工作环境温度为-2040 ℃,在使用中不允许受弯,在腐蚀环境中使用接头应采取防腐措施。

 

七、钢丝绳吊索的使用和停用报废要求

1.吊索的使用要求

1)使用铝合金压制接头吊索时,金属套管不应受径向力或弯矩作用。

2)提升物品时穿入软索眼的金属销轴等物体,应有足够的连接强度,且直径不得小于吊索钢丝绳公称直径的2倍。

3)钢丝绳吊索不得在地面上拖拽,且不得在使用说明书规定以外的温度环境条件中使用。

4)提升吊重时,应符合下列要求∶ 

1)吊索分肢无任何结扣的可能性。 

2)终端连接方法正确可靠。

3)吊索弯折曲率半径大于钢丝绳公称直径的倍。

4)吊索使用中本身自然形成的扭结角不得受挤压,终端索眼、套管或插接连接及其配件应安全可靠。

5)多肢吊索不得绞缠。

5)严禁超负荷使用,吊索肢间夹角应不大于120°

6)吊索应贮存在通风、干燥场所,防止阳光直射、热气烘烤和接触酸、碱等具有腐蚀性的物质。

7)吊索应分类卷绕放置在垫板或悬挂在货架上,严禁混杂存放。 

2.吊索的停止使用、维修、更换或报废要求

钢丝绳吊索出现下列情况之一时,应停止使用、维修、更换或报废

1)钢丝绳无规律分布损坏,在倍钢丝绳直径的长度范围内,可见断丝总数超过钢丝绳中钢丝总数的5%

2)钢丝绳局部可见断丝损坏,有根以上的断丝聚集在一起。

3)索眼表面出现集中断丝,或断丝集中在金属套管、插接处附近、插接连接绳股中。

4)钢丝绳严重磨损,在任何位置实测钢丝绳直径,尺寸已不到原公称直径的90%

5)钢丝绳严重锈蚀,柔性降低,表面明显粗糙,在锈蚀部位实测钢丝绳直径,尺寸已不到原公称直径的93%

6)因打结、扭曲、挤压造成钢丝绳畸变、压破、芯损坏,或钢丝绳压扁超过原公称直径的20%

7)钢丝绳热损坏,由于带电燃弧引起的钢丝绳烧熔、熔融金属液浸烫,或长时间暴露于高温环境中引起强度下降。

8)插接处严重受挤压、磨损。

9)金属套管损坏(如裂纹、严重变形、腐蚀)或直径缩小到原公称直径的95%

10)绳端固定连接的金属套管或插接连接部分滑出。

11)链环等端部配件达到报废标准