财务管理

社会工作实务(初级) • 2023-07-18 • 10+ 浏览


财务管理


一、财务管理基础

(一)财务管理的概念与内容

财务是指企业再生产过程中的资金运动及其所体现的经济关系。企业财务管理是组织企业财务活动,处理财务关系的一项经济管理活动,它是企业管理的重要组成部分。

企业的资金运动可以分为筹集、运用和分配三个阶段。在市场经济条件下,筹集资金是企业进行生产经营活动的前提,包括确定企业资金需要量和选择资金来源渠道。资金运用就是把筹集到的资金投入到企业生产经营活动过程中。资金的分配就是企业将取得的营业收入进行分配,用于补偿成本和费用,保证企业生产经营活动的持续进行。

企业的财务关系是指企业在生产经营活动中与各有关方面发生的经济关系,主要包括企业与其所有者、债权人、被投资单位、债务人、企业内部各单位和职工、国家税务部门等之间的财务关系。

企业财务管理以企业财务活动为对象,对企业资金实行决策、计划和控制。财务管理的主要内容包括资金筹集管理、投资管理、营运资金管理、利润及其分配管理。在社会主义市场经济条件下,企业应按照资金运动的客观规律,对企业的资金运动及其引起的财务关系进行有效的管理。

(二)财务管理的目标和基本原则

财务管理的目标是评价企业财务活动是否合理的基本标准,它应和企业的总体目标保持一致。但是不同国家的企业面临的财务管理环境不同,同一国家内的企业其公司治理结构不同、发展战略不同,财务管理的目标因此会呈现出不同的表现形式。最具有代表性的是利润最大化目标、股东财富最大化目标和企业价值最大化目标。利润最大化目标是指将利润作为衡量企业经营和财务管理水平的标准,利润越大,越能满足投资人对投资回报的要求。股东财富最大化目标是指通过财务上的合理运用,为股东创造更多的财富。企业价值最大化目标是指企业通过生产经营,开拓创新产品,优化产品服务,不断增加企业财富。企业价值最大化目标不仅要看企业已经获得的利润水平,还要评价企业潜在的获利能力,其追求的企业价值不是企业账面资产的总价值,而是企业全部财产的市场价值,反映了企业潜在或预期获利能力以及未来收入的预期。

财务管理的原则主要包括资金合理配置原则、风险与报酬均衡原则、利益关系协调原则、成本效益原则、分级分权管理原则和企业价值最大化原则。

(三)财务管理的基本方法

财务管理的方法是反映财务管理内容、完成管理任务的手段,主要包括财务预测、财务决策、财务预算、财务控制和财务分析等一系列专门方法。这些相互配合、相互联系的方法构成了一个完整的财务管理方法体系。

财务预测是指根据活动的历史资料,考虑现实的条件和今后的要求,对企业未来时期的财务收支活动进行全面分析,并作出各种不同的预计和推断的过程。财务预测的主要内容有筹资预测、投资收益预测、成本预测、收入预测和利润预测等。

财务决策是指在财务预测的基础上,对不同方案的财务数据进行分析比较,全面权衡利弊,从中选择最优方案的过程。财务决策的主要内容有筹资决策、投资决策、成本费用决策、收入决策和利润决策等。

财务预算是指以财务决策的结果为依据,对企业生产经营活动的各个方面进行规划的过程。财务预算的主要内容有筹资预算、投资预算、成本费用预算、销售收入预算和利润预算等。

财务控制是指以财务预算和财务制度为依据,对财务活动脱离规定目标的偏差实施干预和校正的过程。财务控制的内容主要有筹资控制、投资控制、货币资金收支控制、成本费用控制和利润控制等。

财务分析是指以会计信息和财务预算为依据,对一定期间的财务活动过程及其结果进行分析和评价的过程。财务分析的内容主要有偿债能力分析、营运能力分析、获利能力分析和综合财务分析等。

 

二、财务管理的价值观念

(一)货币时间价值

货币时间价值是指货币由于投资到生产经营领域,随着时间的推移而产生的增值。货币时间价值的作用贯穿于企业的整个财务管理过程,是企业进行投资决策、筹资决策的重要依据。货币时间价值有两种表现形式,相对数形式和绝对数形式。相对数形式即利率,绝对数形式即货币增值额。利率有单利和复利之分,因此货币时间价值的计算也有单利和复利两种计算方法。因为资金可以再投资,而理性的投资者总是尽可能快地将资金投入合适的方向,以赚取更多的报酬,因此对货币时间价值的测算一般按照复利计算。

1.复利终值和现值

终值(future value,FV)是指当前一笔资金在若干时期后所具有的价值。复利终值计算公式为


FVn=PV(1+i)n

 

式中,FVn——投资期末的本利和,终值;

    PV——投资期初的本金,现值;

    i——利率;

    n——计息期。

现值(present value,PV)是指未来年份收到或者支付的资金在当前的价值。由复利终值的计算公式可以求得复利现值,其计算公式为

PV=FVn/(1+i)n

式中符号含义同前。

1+i)n为复利终值系数,1/(1+i)n为复利现值系数。为了简化计算,可以通过查询复利终值系数表或者复利现值系数表获得。

2.年金终值和现值

年金(annuity)是指一定时期内,每间隔相同时间所收付的相等款项,即定时等额系列收付款项。企业日常生产经营活动中常见的固定资产折旧、租金、利息、保险费等均表现为年金的形式。年金按照付款方式,可以分为普通年金、即付年金、递延年金和永续年金。

1)普通年金

普通年金是收付时间均发生在每个间隔期末的年金,又称后付年金。普通年金的终值是各期普通年金的复利终值之和。其计算过程和公式如下

FVAn =A+A(1+i)+A(1+i)2+…+A(1+i)n-2+A(1+i)n-1

   =A[(1+i)n-1]/i

式中,FVAn——n期普通年金终值;

    A——年金;

    i——利率;

    n——计息期。

普通年金现值是各期普通年金在第一期期初点上的价值之和。其计算公式为

PVAn=A [(1+i)n-1]/[i(1+i)n]

式中,PVA,——n期普通年金现值。

[(1+i)n-1]/[i(1+i)n]与[(1+i)n-1]/i分别为普通年金现值系数和普通年金终值系数,均可以通过查询普通年金现值系数表和普通年金终值系数表获得。

2)即付年金

即付年金是收付时间均发生在每个间隔期期初的年金,又称先付年金、预付年金,其终值和现值可以通过普通年金终值和现值公式推导得出。

FVDn=Axn期普通年金终值系数×(1+i)

PVDn=Ax[(n-1)期普通年金现值系数+1]式中,

FVDn——n期即付年金终值;

PVDn——n期即付年金现值。

3)递延年金

递延年金是收付款项在第一期期末以后的年金,又称延期年金。递延年金终值按照普通年金终值计算。递延年金现值可以被看作按照递延期和年金发生期计算的年金现值,减去按递延期计算的年金现值。其计算公式为:

PV=A[(1+i)m+n-1]/[i(1+i)m+n]-A[(1+i)m-1]/[i(1+i)m]

式中,PV——递延年金现值

    m——递延期。

4)永续年金

永续年金是指无限期收付的年金,又称永久年金或终身年金。从数学角度看,永续年金终值是发散的,当期数n趋向于无穷大时,其终值也趋向于无穷大。永续年金的现值是收敛的,其现值趋向于A/i。

(二)风险与报酬

货币时间价值说明了企业在无风险情况下应得到的投资报酬,但企业投资往往是在有风险的情况下进行的。风险越大,企业期望得到的报酬就越高。

报酬又称收益,是指企业投资或者经营所得超过投资成本价值的超额收益。报酬的衡量有绝对数指标和相对数指标。绝对数指标如年金收益等相对数指标就是报酬率,如投资前测算的期望报酬率和应达到的必要报酬率,以及投资后已获得的实际报酬率等。

风险是指未来投资收益的不确定性,尤其是带来负收益的可能性。企业的财务决策几乎都是在包含风险和不确定的情况下作出的。根据投资的全部风险是否可分散,可将风险划分为不可分散风险和可分散风险。不可分散风险又称系统风险或者市场风险,是指由那些影响整个市场的事件引起的,不可能通过投资分散化消除的风险,如战争、经济波动等。可分散风险又称非系统风险或者公司特有风险,是指由那些只影响个别投资对象的事件引起的,可以通过投资分散化消除的风险。

 

三、财务分析

财务分析是以企业的资产负债表、利润表、现金流量表等财务报告资料为基础,对企业的财务状况、经营成果和现金流量进行分析和评价的一种方法。财务分析可以全面评价企业在一定时期内的各种财务能力,为外部投资者、债权人和其他部门及相关人员提供更加系统、完整的会计信息,还可以用于检查企业内部各职能部门和单位完成企业经营计划的情况,评价企业经营业绩。财务分析工作一般包括如下步骤首先,确定财务分析的范围,搜集有关经济资料其次,评价财务信息的真实性再次,选用适当的分析方法,确定恰当的分析指标最后,分析原因,总结评价,为经济决策提供各种对策建议。常见的财务分析方法有定性分析和定量分析。常用的定量分析方法包括比较分析法、趋势分析法、结构分析法和比率分析法。

(一)财务能力分析

1.偿债能力

偿债能力是指企业偿还各种债务的能力。偿债能力分析可以揭示企业的财务风险,主要包括短期偿债能力分析和长期偿债能力分析。短期偿债能力是指企业偿还流动负债的能力,评价指标主要包括流动比率、速动比率、现金比率、现金流量比等。长期偿债能力是指企业偿还长期负债的能力,评价指标包括资产负债率、股东权益比率、权益乘数、产权比率、有形净值债务率、偿债保障比率、利息保障倍数和现金利息保障倍数等。

2.营运能力

营运能力是指企业资产管理的能力,主要用来反映企业资金周转情况,评价企业的资产管理水平,如存货的积压情况、应收账款的回收情况、资产结构是否合理等。评价企业营运能力的指标主要包括应收账款周转率、存货周转率、流动资产周转率、固定资产周转率和总资产周转率。

3.盈利能力

盈利能力是指企业获取利润的能力。盈利是企业生存和发展的重要基础,企业的债权人、所有者及管理者都十分关心企业的盈利状况。盈利能力分析是评价企业经营管理水平的重要依据。评价盈利能力的指标主要包括资产报酬率、股东权益报酬率、销售利润率、销售净利率、成本费用净利率等。

4.发展能力

发展能力又称成长能力,是指企业在从事经营活动过程中所表现出的增长能力,如企业规模的扩大、盈利的持续增长、市场竞争力的不断增强等。评价企业发展能力的指标主要包括销售增长率、资产增长率、股权资本增长率、利润增长率等。

(二)财务趋势分析

财务趋势分析是指通过比较企业连续几期的财务报表或者财务比率,分析企业财务状况的变化趋势,并以此预测企业未来的财务状况和发展前景。财务趋势分析的主要方法包括比较财务报表、比较财务比率等。

(三)财务综合分析

企业的各项财务指标之间不是孤立的,而是互相存在密切的联系。单独分析任何一类财务指标都不足以全面评价企业的财务状况和经营成果,因此必须对企业进行综合的财务分析。常见的财务综合分析方法有财务比率综合评分法和杜邦分析法。

1.财务比率综合评分法

财务比率综合评分法是通过对选定的若干个财务比率进行评分,然后计算综合得分,并据此评价企业综合财务状况的方法(见表3—5)。采用此法,选定评价财务状况的财务比率应具有全面性,即反映偿债能力、营运能力和盈利能力的指标都应该包括在内选择指标还应该具有代表性,且应具有变化方向的一致性应该规定各项财务比率评分值的上下限,以防止指标的异常值给总分造成不合理的影响。

 

图片


2.杜邦分析法

杜邦分析法是由美国杜邦公司首先提出并应用的,该方法认为提高企业综合能力的关键是提高净资产收益率,进而将企业净资产收益率逐级分解为多项财务比率乘积,然后将净利润、总资产进行层层分解,从而形成了杜邦系统图(见图3—10)。

杜邦分析法通过几种主要的财务指标之间的关系,明确反映了企业的财务状况。通过杜邦分析系统可知

1)净资产收益率是杜邦分析法的起点和核心。该指标的高低反映了投资者的净资产获利能力的大小。要提高该指标,就要提高总资产净利率和权益乘数。

2)总资产净利率是销售净利率和总资产周转率的乘积,是企业销售成果和资产运营的综合反映。要提高总资产净利率,就要提高销售净利率和总资产周转率。

3)销售净利率反映了企业的净利润与销售收入之间的关系。提高该指标关键是提高企业的销售收入,降低成本、费用的支出,因此需要企业加强日常管理和成本费用的控制。

4)总资产周转率反映了企业资产实现销售收入的综合能力。提高总资产周转率,需要减少资产占用,包括流动资产、固定资产和其他资产,加速资金周转,提高资金的使用效率。

 

图片


5)权益乘数表明了企业的负债程度。该指标越大,企业的负债程度越高,它是资产权益率的倒数。企业应合理负债,充分发挥财务杠杆的作用。

 

四、筹资管理

企业筹资又称融资,是指企业作为筹资主体,根据企业经营活动、投资活动和资本结构调整的需要,通过金融市场和筹资渠道,采用一定的筹资方式,有效筹措资本的活动。企业筹资的动因包括依法筹集注册资本,扩大生产规模,优化资本结构,偿还债务。企业筹资必须遵循合法性、效益性、合理性和及时性等基本原则。

(一)筹资渠道与类型

1.筹资渠道

企业筹资需要通过一定的筹资渠道和资本市场。筹资渠道是指企业筹集资本来源的方向与通道。企业筹资渠道主要包括政府财政资本、银行信贷资本、非银行金融机构资本、其他法人资本、民间资本、企业内部资本及国外和我国港澳台地区资本。

2.筹资的类型

根据不同的筹资渠道、方式和期限,企业筹资还可以区分为不同的类型。

1)内部筹资与外部筹资

企业筹资根据资本来源的范围不同,可以分为内部筹资和外部筹资。内部筹资是指企业在企业内部通过企业留存收益形成的资本来源,一般无须花费筹资费用。外部筹资是指企业向企业外部筹资形成的资本来源。外部筹资的方式主要包括投入资本筹资、发行股票筹资、长期借款筹资、发行债券筹资、融资租赁筹资等。外部筹资往往需要花费一定的筹资费用。

2)直接筹资与间接筹资

直接筹资是指企业不借助银行等金融机构,直接与资本所有者协商融通资本,主要方式包括投入资本、发行股票、发行债券等。间接筹资是指企业借助银行等金融机构融通资本,主要方式包括银行借款和融资租赁。

3)股权性筹资、债务性筹资和混合性筹资

根据企业筹集资本属性的不同,筹资可以分为股权性筹资、债务性筹资和混合性筹资。股权性筹资形成企业的股权资本,又称权益资本,是指企业所有者提供的资金,包括资本金、资本公积、盈余公积和未分配利润。这部分资金的所有权归属于企业所有者,可供企业长期使用。企业的权益资本通常采用发行股票、直接投资和留存收益等方式形成。债务性筹资形成企业债务资本,是指企业依法取得并依约使用、按期偿还的资本,通常采用借款、发行债券、租赁、商业信用等方式形成。混合性筹资是指兼具股权性筹资和债务性筹资双重属性的筹资类型,主要包括发行优先股和可转换债券等方式。

(二)杠杆原理

1.经营杠杆

经营杠杆是指由于经营成本中固定成本的存在而导致息税前利润变动率大于营业收入变动率的现象。在企业一定的生产规模内,变动成本会随着营业收入总额的增加而增加,固定成本一般保持固定不变。随着营业收入的增加,单位营业收入负担的固定成本相对减少,从而给企业带来较多的利润。经营杠杆利益是指在企业扩大营业收入总额的条件下,单位营业收入中负担的固定成本下降而给企业增加的息税前利润。

经营杠杆的作用程度一般用经营杠杆系数表示,其公式为

 

图片


式中,DOL——经营杠杆系数

    EBIT、△EBIT——息税前利润、息税前利润的变动额;

    Q、△Q——销售数量、销售数量的变化量。

2.财务杠杆

财务杠杆是指在企业经营活动中,由于负债经营存在固定利息费用而造成的权益净利率或者普通每股收益的变动率大于息税前利润的变动的现象。财务杠杆作用的大小,通常使用财务杠杆系数衡量。财务杠杆系数的计算公式为

 

图片

 

式中,DFL——财务杠杆系数

    EPS、△EPS——普通股每股收益、普通股每股收益的变化量。

(三)资本结构决策

1.资本成本

资本成本是指企业为筹集和使用资金而付出的各种费用。资本成本包括资金筹集费和资金占用费。资金筹集费是指企业在筹资过程中支付的各种费用,如银行借款的手续费、股票和债券的发行费用等。资金占用费是指企业在生产经营过程中因为占用和使用资金而支付的各种费用,如股票股利、借款和债务性筹资付出的利息等。资金占用费经常发生,并需要定期支付。资金筹集费通常在筹资过程中一次性支付,可以作为资金筹集总额的减少。为了便于计算和比较,资本成本通常用相对数表示,公式如下

 

图片


资本成本是企业筹资管理的重要概念,国际上将其视为一项财务标准。资本成本对于企业财务管理和经营管理都具有十分重要的作用。从筹资角度看,资本成本是选择筹资方式、进行资本结构决策和追加筹资方案的依据。从投资角度看,资本成本是评价投资项目、比较投资方案和进行投资决策的经济标准。从经营管理角度看,资本成本是衡量企业经营业绩的重要标准。

1)不同筹资方式的资本成本

根据国际惯例和各国税法的规定,债务的利息一般允许在企业缴纳所得税前支付,具有抵税作用,因此债务性筹资的资本成本相对较低。在股权性筹资方式下,企业向股东支付的股利需要在缴纳所得税后支付,不可享受免税收益,因此股权性筹资的资本成本一般高于债务性筹资的资本成本。不同筹资方式的资本成本计算公式如下。

1)长期借款成本包括借款利息和筹资费用。分期付息、到期一次性还本的长期借款的资本成本计算公式为

 

 å›¾ç‰‡

2)债券成本包括债券利息和筹资费用。债券筹资费用包括申请发行债券的手续费、债券印刷费、推销费等发行费用,因此其筹资费用往往比长期借款成本高。分期付息、到期一次还本的债券成本计算公式为

 

图片


3)优先股成本包括优先股股利和筹资费用。优先股股利一般是固定的。优先股成本的计算公式为

 

图片


4)普通股成本的计算与优先股基本相同,但由于普通股的股利不是固定的,其股利会随着企业经营状况和股利分配政策等因素而变化,因此普通股成本的计算较为困难。目前,估算普通股成本的方法主要包括股利增长模型、资本资产定价模型和风险溢价法。

根据股利增长模型,普通股成本的计算公式为

 

图片


    RPc——股东比债权人承担更高风险而要求的风险溢价。

2)综合资本成本

为了谋求更低的资本成本,企业筹资往往采取多种筹资方式融通资金。综合资本成本是指企业全部长期资金筹集的总成本,通常以各种长期资金占全部资金的比重作为权数,对其资本成本进行加权确定。因此,综合资本成本又称加权平均资本成本,其计算公式为

 

图片


2.最佳资本结构的决定

资本结构是指企业各种资金的构成和比例关系,通常是指各种长期资金构成和比例关系。资本结构是由于企业同时采用股权性筹资和债务性筹资引起的。在资本结构中,合理利用债务性筹资安排负债比率,对于企业具有重要的影响。利用债务性筹资,可以降低企业的综合成本。债务性筹资还具有财务杠杆作用,增加每股收益,但是债务性筹资也会加大企业的财务风险。

资本结构决策是企业财务决策的核心内容。最佳资本结构是指企业在适度财务风险的条件下,使其预期的综合资本成本率最低,同时企业价值最大的资本结构。它应作为企业目标资本结构指导企业的筹资决策。企业资本结构决策影响因素主要包括企业财务目标、企业发展阶段、企业财务状况、投资者动机、债权人态度、经营者的行为、税收政策等。资本结构决策的主要方法包括资本成本比较法、每股收益分析法和企业价值比较法等。

 

五、企业投资管理

企业投资是指企业对其持有资金的一种运用,如投入固定资产或者购买金融资产,其目的是在未来一定时期内获得与风险匹配的报酬。企业投资是实现财务管理目标的前提,是企业发展生产的必要手段,是降低经营风险的重要方法。为此,企业在投资管理中,必须认真地进行市场调查,进行项目可行性评价,并且及时足额筹集资金保证投资项目的资金供应,而且适当探制企业的投资风险。

(一)企业投资过程分析

投资项目提出后,需要经过评价与决策、实施与监控以及事后审计与评价等阶段。

1.投资项目的评价与决策

投资项目的评价主要包括将提出的投资项目进行分类,为分析评价做好准备估计各个投资项目的现金流量状况选择适当的投资评价指标,对各个投资项目进行分析考虑资本限额等约束条件,编写评价报告,作出相应的投资预算,报请审批。

投资项目的决策主要是跟踪评价结果,由企业决策层作出最后决策。

2.投资项目的实施与监控

投资项目一旦决定投入实施,应该积极地实施并进行有效的监督与评价。具体应做好以下工作为投资项目筹措资金按照拟定的投资方案有计划、分步骤实施对项目的实施进度、施工质量和成本等进行控制和监督,保证投资项目按照预算规定如期完成定期进行后期分析。

3.投资项目的事后审计与评价

投资项目的事后审计主要由企业内部审计机构完成,将投资项目的实际表现与原来的预期进行对比,进而更深入地了解投资项目实施过程中存在的问题,总结成功经验等。根据审计结果还可以对投资管理部门进行绩效评价,并据此建立相应的激励制度,以提高投资管理效率。

(二)内部长期投资决策

内部长期投资主要是指企业的固定资产投资形成生产能力的过程。固定资产投资的特点主要有投资数额巨大,投资回收期长,存在风险性和不确定性等。固定资产投资决策方法可以分为非贴现现金流量方法和贴现现金流量方法。非贴现现金流量方法不考虑资金的时间价值,把不同时间的货币收支看作等效的。这类方法主要包括投资回收期法和投资回收率法。贴现现金流量方法又称动态分析法,其特点是考虑了未来现金流入量和投资额的时间价值。贴现现金流量方法是进行固定资产投资决策的主要分析方法,这类方法主要包括净现值法、现值指数法和内含报酬率法。

1.投资回收期法

投资回收期是指收回全部投资所需要的年限。缩短投资回收期可以提高资金的使用效率,降低投资风险。投资回收期法是根据收回投资总额时间的长短进行投资决策判断。投资回收期的计算公式为

 

投资回收期=投资总额/每年现金净流人量

 

2.投资回收率法

投资回收率反映了年净收益与投资总额的比率。投资回收率的高低以相对数的形式反映投资回收速度的快慢。投资回收率的计算公式为

 

投资回收率=年平均净收率\初始投资额×100%

 

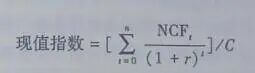
3.净现值法

净现值是指投资项目寿命周期内的现金净流量的现值和。现金净流量是现金流人量减去现金流出量得到的差额。净现值法根据各方案净现值的大小决定方案的取舍。净现值的计算公式为


 å›¾ç‰‡

 

式中,NCFt——第t年的现金净流量;

    r——贴现率;

    C——初始投资额。

如果投资方案的净现值为正数,说明投资的现金流入量的现值超过贴现后的现金流出量,该方案为可行性方案如果净现值为负数,则方案不可取。在投资额相等的各方案中,净现值越大的方案投资的经济效果就越好。

4.现值指数法

现值指数是投资方案的现金流入现值与现金流出现值的比率。其计算公式为

 

图片

 

在诸多投资方案中,现值指数越大,说明该方案单位投资额在未来期内可获得的收益现值越高。现值指数最大的投资方案为最优方案。

5.内含报酬率法

内含报酬率又称内部报酬率,是指能够使未来现金流入量现值等于未来现金流出量现值的贴现率。该指标反映了投资项目的真实报酬,其计算通常要采用逐步测试法经过多次测试方能计算得出。

(三)对外长期投资决策

对外长期投资是企业以现金、实物、无形资产等形式或者以购买股票、债券等有价证券的形式向其他单位进行的投资。对外长期投资具有以下特点投资目的具有多重性投资形式具有多样性投资风险大,收益高投资种类不同,其风险与收益差别较大。

1.对外股权投资

对外股权投资的实现方式有两种一种是在证券市场上以货币资金购买其他企业股票,从而成为被投资企业的股东,形成股票投资另一种是以现金、实物、无形资产投资于其他企业,从而成为被投资企业的股东,形成其他股权投资。

股票投资的特点是投资收益高、投资风险较大,可以参与被投资企业的经营管理,流动性比较强。企业进行股票投资之前,应对所要投资的股票进行分析。常用的分析指标为股票的内在价值和预期收益率,相对应的投资决策分析方法为净现值法和内含报酬率法。

其他股权投资的特点是投资资产为现金、实物和无形资产,投资形式多样,投资数额较大且不能任意收回,投资期限较长,风险较大。

2.对外债权投资

对外债权投资主要是指企业在证券市场上以货币资金购买其他企业的债券,从而成为被投资企业的债权人,形成债券投资。与股权投资相比,债券投资的特点是投资风险较低、投资收益比较稳定,选择性比较大,无权参与债券发行企业的经营管理。债券投资决策分析的指标是债券的内在价值和到期收益率,相对应的债券投资决策方法是净现值法和内含报酬率法。

3.证券投资组合

证券投资组合是指由两种以上的证券,按照不同的比例构成的投资组合。证券投资组合不仅可以降低投资风险,还可以提高投资收益。证券投资组合的预期收益率是投资组合中各个证券预期收益率的加权平均数,其风险包括可分散风险和不可分散风险。可分散风险可以通过有效的证券投资组合分散掉,所以一般证券投资组合的风险会低于其加权平均风险,而且证券投资组合的种类越多,总风险就越小。

企业在进行证券投资时,除了要考虑风险和收益要素,还应该对宏观经济环境、行业环境和发行证券的公司进行分析。在证券投资组合的具体方法上,一是要选择足够多的证券进行组合,二是尽可能选择呈现负相关的证券进行投资组合,三是将高、中、低不同风险的证券进行组合。

 

六、短期财务决策

短期财务决策主要包括营运资金管理和流动负债融资管理。

(一)营运资金管理

营运资金是指企业在生产经营活动中占用的流动资产项下的资金,数量上表现为流动资产减去流动负债所得到的余额。流动资产包括现金、应收账款、存货等。对营运资金进行管理,既要保证有足够的资金满足企业生产经营的需要,又要保证企业能够按时偿还各种到期债务。在其管理过程中,应认真分析生产经营状况,合理确定营运资金的需要量在保证生产经营需要的前提下,节约使用资金加速营运资金的周转,提高资金的利用效率合理安排短期资产与短期负债的关系,保障企业有足够的短期偿债资金。

1.营运资金的持有政策

根据营运资金与销售额的数量关系,可以将营运资金的持有政策分为三种。

1)宽松的持有政策。该政策要求企业在一定的销售水平上保持较多的短期资产。其特点是报酬低、风险小。

2)适中的持有政策。该政策要求企业在一定的销售水平上保持适中的短期资产,既不过高也不过低。其特点是报酬和风险的平衡。

3)紧缩的持有政策。该政策要求企业在一定的销售水平上保持较少的短期资产。其特点是报酬高、风险大。

2.营运资金的筹资政策

企业在筹措流动资金时,既要保证一部分稳定的资金来源,又要合理安排一些短期资金来源。营运资金的筹资政策就是长期性流动资产与临时性流动资产筹资方式的安排和组合。

1)积极型筹资政策。采取积极型筹资政策时,企业的全部长期资产和一部分长期性流动资产由长期资金融通,部分长期性流动资产和全部临时性流动资产由短期资金融通。资产从种类上看,包括流动资产、固定资产、无形资产、递延资产从性质上看,包括临时性流动资产、长期性流动资产与长期资产。资金从来源上看,包括短期资金(流动负债)与长期资金(长期负债及所有者权益)。

2)保守型筹资政策。采取保守型筹资政策时,企业的全部长期资产、长期性流动资产和一部分临时性流动资产由长期资金融通,另一部分临时性流动资产由短期资金融通。

3)适中型筹资政策。采取适中型筹资政策时,企业的全部长期资产和全部长期性流动性资产由长期资金融通,全部临时性流动资产由短期资金融通(见表3—6)。适中型筹资政策表3—6

 

图片

 

(二)现金的管理

现金是盈利能力最低的资产。企业留存现金的原因主要有交易性动机、预防性动机和投资动机。现金管理的内容包括编制现金收支计划,以便合理估计未来的现金需求对日常的现金收支进行控制,力求加速收款,延缓付款选择适当的方法确定最佳现金持有量。

(三)应收账款的管理

应收账款是企业因为销售商品、材料和提供劳务,应向购货单位收取的账款。在企业生产经营过程中,应收账款增加了销售,减少了存货。应收账款的管理目标是发挥应收账款强化竞争、扩大销售的功能,同时,尽可能降低应收账款的投资机会成本、坏账损失与管理成本,最大限度地提高应收账款的投资效益。应收账款的管理策略主要包括通过制定信用标准、信用条件等信用政策,改变和调节应收账款的数额制定和实施有效的收款政策建立提取坏账准备金制度。

(四)存货的管理

存货是企业在生产经营过程中为销售或者耗用准备的物资。存货种类繁多,内容广泛,根据存货的来源和用途,一般可以分为原材料和燃料、低值易耗品、在产品和半成品、产成品、商品和协作件等。存货的管理目标是控制存货水平,在充分发挥存货功能基础上,降低存货成本。

(五)流动负债融资管理

流动负债融资是指使用期限在一年以内的企业筹集的资金,又称短期融资。流动负债融资的主要形式包括短期借款和商业信用、其目的主要是满足企业日常周转资金的需求,其特点主要为筹资速度快、筹资弹性大、筹资成本较低。

1.短期借款

短期借款通常是指企业根据借款合同向银行和其他非银行金融机构借入的期限在一年以内的款项。短期借款根据担保条件不同,可分为信用借款、担保借款和票据贴现。

2.商业信用

商业信用是指企业之间以商品赊销和预付货款形式提供的信用,是企业之间的一种直接信用关系。商业信用的形式主要包括应付账款、预收账款。其优点是使用方便、成本低、现值少,其缺点主要是使用时间一般较短,在法治不健全的情况下,若企业缺乏信誉,容易造成企业之间互相拖欠,影响资金周转。

 

七、利润与股利分配管理

(一)利润的形成与分配

1.利润的形成

利润是企业在一定会计期间的经营成果,包括收入扣除费用后的金额、直接计入当期利润的利得和损失等。利润是企业经营中追求的目标之一,是企业投资人和债权人进行投资决策的重要依据,也是企业分配的基础。根据《企业会计准则》的规定,企业利润包括营业利润、营业外收入、营业外支出和所得税等。

营业利润=营业收入-营业成本-营业税金及附加-销售费用-管理费用-财务费用-资产减值损失+公允价值变动收益(一公允价值变动损失)+投资收益(-投资损失)

利润总额=营业利润+营业外收入-营业外支出+以前年度损益调整净利润=利润总额-所得税2.利润分配

利润分配是企业对所实现的利润进行分割与派发的活动。企业利润分配必须依照法定程序进行。根据《公司法》《企业财务通则》等法律法规的规定,一般企业和股份有限公司每期实现的净利润,首先应弥补以前年度的净亏损,然后按照下列顺序进行分配。

1)计算可供分配的利润

2)提取法定盈余公积金

3)提取任意盈余公积金

4)向投资者分配利润或者股利。

(二)股利分配政策

1.股利分配的形式

我国有关法律规定,股份有限公司只能采用现金股利和股票股利两种形式分配股利。现金股利是股份有限公司以现金形式从公司净利润中分配给股东的投资报酬。股票股利是股份有限公司以股票的形式从公司净利润中分配给股东的投资报酬。

2.股利政策的类型

制定合理的股利政策对于企业而言非常重要,股利政策的选择既要符合公司的经营状况和财务状况,又要符合股东的长远利益。在实践中,股份有限公司常用的股利政策主要包括以下四种类型。

1)剩余股利政策。剩余股利政策是指股份有限公司在进行利润分配、确定股利支付率时,首先考虑营利性项目的资金需要,将可供分配的税后利润先用于满足投资项目所需要的权益性资金,如果还有剩余的税后利润可用于发放股利,如果没有剩余,则不发放股利。该政策能够保持理想的资本结构,有利于降低筹资成本,提升企业价值。

2)固定或者稳定增长股利政策。固定股利政策是指股份有限公司在较长时期内每股支付固定股利额的股利政策。当公司对未来利润增长较有把握时,才会增加每股股利金额。采用固定或者稳定增长股利政策是为了向市场传递公司在任何情况下都经营正常的信息,以便树立良好的公司形象。该政策的优点是股利稳定,缺点是股利分配与公司盈利状况脱节,容易造成公司财务压力。

3)固定股利支付率政策。固定股利支付率政策是指股份有限公司每年都按照固定的支付率支付给股东股利。公司净利润高,支付的股利金额就多公司盈利能力下降,支付的股利金额就相应减少。在该政策下,股利与公司盈余密切结合,但是股利随公司盈利状况频繁变动,容易给股东造成经营不稳定的印象。

4)低正常股利加额外股利政策。低正常股利加额外股利政策介于稳定股利政策和变动股利政策之间。在该政策下,公司每期都支付稳定的、较低的股利金额给股东。当公司经营状况较好、盈利较多时,再根据实际情况向股东发放额外的股利。该政策具有较大的灵活性,公司可以根据自身经营状况随时调整股利政策,避免产生巨大的财务压力。

各种股利政策在执行过程中各有利弊,企业应根据自身情况采取恰当的股利政策。