尾矿坝安全与稳定性分析

金属非金属矿山安全作业 • 2023-07-26 • 10+ 浏览


尾矿坝安全与稳定性分析

 

一、渗透破坏

尾矿坝和坝基在渗流作用下出现破坏称为渗透破坏,如尾矿坝下游坡面出现隆起、细尾矿被水带走、出现集中渗流通道等。渗透破坏是尾矿坝发生事故的重要原因之一。

(一)渗透破坏的类型

尾矿坝渗透破坏类型主要有流土、管涌、接触流土和接触冲刷4种。

1.流土

在渗流的作用下,尾矿坝体或坝基表面的颗粒群同时起动而流失的现象称为流土。这种破坏形式在黏性土和无黏性土中均可能发生,只要水力坡降达到一定的大小,都有可能发生流土破坏。黏性土发生流土破坏的外观表现是土体隆起、鼓胀、浮动、断裂等;无黏性土发生流土破坏的外观表现是泉眼、砂沸、土体翻滚最终被渗透托起等。对于尾矿坝,流土破坏常发生在坝体下游渗流逸出处无保护的情况下。当下游逸出处渗透坡降值较大且大于临界坡降时,就会在下游坝坡逸出处发生表面隆起、裂缝开展、尾矿涌出,甚至出现尾矿土块被整体冲走的现象,这是比较典型的流土破坏。

2.管涌

在渗流的作用下,一定级配的无黏性土中的细颗粒通过大颗粒所形成的孔隙发生移动,最终在土中形成贯通的管道的现象称为管涌。发生管涌破坏是一个随时间逐步发展的过程。首先,在渗透水流作用下,较细的颗粒在粗颗粒形成的孔隙中移动流失随后,土体的孔隙不断扩大,渗流速度不断增加,较粗颗粒也会相继被水流带走随着上述冲刷过程的不断发展,会在土体中形成贯穿的渗流通道,造成土体塌陷或其他类型的破坏。

3.接触流土

渗流垂直于两种不同介质的接触面运动,并把一层土的颗粒带人另一土层的现象称为接触流土。这种现象一般发生在颗粒粗细相差较大的两种土层的接触带,如尾矿坝上游坡面反滤层的位置。

4.接触冲刷

渗流沿着两种不同介质的接触面流动并带走细颗粒的现象称为接触冲刷。

对于黏性土,只有流土、接触冲刷或接触流土3种破坏形式,不会产生管涌破坏;对于尾矿等无黏性土,则4种破坏形式均可能发生。

(二)渗透破坏类型的判别

土体的渗透破坏与土体的颗粒组成和渗透力有关。

1.流土可能性的判别

在渗流逸出处,无论是黏性土还是无黏性土,只要满足渗透坡降大于临界水力坡降,均会发生流土现象。进行流土发生的可能性判别时,首先需要采用流网或其他方法求出渗流逸出处的水力坡降和该处土体的临界水力坡降i。,然后再按下列条件进行判别∶

 

i<ic土体处于稳定状态

 

i=ic土体处于临界状态,将发生流土破坏;

i>ic,土体会发生流土破坏。

在设计时,应保证具有一定的安全系数,把逸出坡降限制在允许水力坡降[i],即

 

图片

 

式中   Fs——流土安全系数。

2.管涌可能性的判别

是否会发生管涌首先取决于土的性质,一般黏性土不会发生管涌。对于无黏性土,土中粗颗粒所构成的孔隙必须大于细颗粒的直径,才有可能让细颗粒在其中发生移动,这是产生管涌的必要条件。对于不均匀系数小于10的较均匀的土,颗粒粗细相差不多,粗颗粒形成的孔隙直径不比细颗粒大,因此,细颗粒不能在孔隙中移动,所以不会发生管涌。

对于不均匀系数大于10的不均匀的土,是否发生管涌主要取决于土的级配情况和细粒含量。对于缺乏中间粒径的级配不连续的土,是否发生管涌主要取决于细粒含量。当细粒含量低于25%时,细粒料填不满粗粒料形成的孔隙,渗透破坏基本上属于管涌型;当细粒料含量大于35%时,细粒料足以填满粗粒料形成的孔隙,粗细料形成整体,不属于管涌型。细粒料含量为25%~35%时,属于过渡型。对于级配连续的不均匀土,可由土的孔隙平均直径和最细部分的颗粒粒径的关系来确定。

(三)渗流控制要求和控制措施

1.渗流控制要求

尾矿坝必须满足渗流控制要求。尾矿坝设计和现状安全评价都应进行渗流计算,一级及二级尾矿坝还应根据地形条件做专门渗流模拟试验。尾矿坝浸润线的确定需要分析放矿、雨水和地震等因素对尾矿坝浸润线的影响。尾矿堆积坝下游坡浸润线的最小埋深满足坝坡抗滑稳定的条件和规范规定的浸润线最小埋深要求,见表4-7。

 

图片


2.渗流控制措施

尾矿坝的渗流控制措施必须确保浸润线低于控制浸润线。降低浸润线的措施应结合坝的级别、坝体稳定计算和抗震构造等要求综合分析确定,一般采取下列措施。

1)尾矿库建设阶段,在尾矿堆积坝坝基范围内设置排渗褥垫(碎石或土工排水网垫)、排渗管(或盲沟)及排渗井等型式的水平和垂直排渗系统。

2)尾矿坝运行中,随坝体升高适时设置排渗管或盲沟、席垫、垂直塑料排水板或排渗井等型式的排渗系统;当实测浸润线高于控制浸润线时,在坝坡或沉积滩上增设排渗管、辐射排渗井等排渗设施。

3)降低库内水位。

 

二、边坡稳定性分析

(一)分析方法

尾矿坝边坡稳定性分析的方法主要有极限平衡法和有限元法。极限平衡法应用较早,也是目前最常用的边坡稳定性分析方法有限元法是近几年才发展起来的新方法。极限平衡法的步骤是先假定破坏沿坝体内某一确定的滑动面滑动,根据滑动土体的静力平衡条件和莫尔库仑准则可以计算沿该滑动面滑动的可能性,即安全系数的大小,然后系统地选取许多个可能的滑动面,用同样的方法计算安全系数,安全系数最小的滑动面是最危险的滑动面。

1.瑞典条分法

早在1915年,瑞典人彼得森(PettersonKE)就用圆弧滑动法分析边坡的稳定性,这就是瑞典圆弧法。该方法将稳定安全系数定义为抗滑力矩与滑动力矩的比值,受力分析如图4-10所示。由于滑动面上各点的反力无法确定,对于摩擦角φ>0°的土,抗滑力矩无法计算得到。只有当q=0°时,各点反力的方向垂直于滑动面,通过圆心不产生抗滑力矩,因此只有黏聚力产生的力矩,这时的安全系数为


图片

图片

 

式(4-2)为整体圆弧滑动法计算边坡稳定性的公式,它只适用于φ=0°的情况,即适用于饱和软黏土不排水的条件下。

为了求解摩擦角φ>0°的情况,引人了条分法的思想。将滑动土体竖直分成若干土条,把各土体当成钢体,分别求作用于各土条上的力对圆心的滑动力矩和抗滑力矩,然后求土坡的稳定安全系数,如图4-11所示。瑞典条分法假定滑动面是一个圆弧面,并认为条块间的作用力大小相等,方向相反且作用于同一直线上,对边坡的整体稳定性影响不大,可以忽略,从而得到下面的计算公式

 

图片


瑞典条分法是忽略了条间力的一种简化方法,受力分析如图4-11所示。它满足滑动土体的整体力矩平衡条件但不满足土条的静力条件,这是区别于其他条分法的主要特点。这种方法是最简单、最古老的一种方法,应用时间长,积累了丰富的工程经验,一般得到的安全系数偏小,误差偏于安全,是目前工程上常用的方法。

2.简化毕肖甫法

毕肖甫(BishopAN)于1955年提出了一个考虑土条侧面力的条分法,称为毕肖甫法。毕肖甫法不仅考虑了土条块的重力、滑动面上的切向力和法向力,还考虑了条块的侧面法向力和切向力,满足条块的静力平衡条件和整体力矩平衡条件。受力分析如图4-12所示。

 

图片


毕肖甫法计算公式为

 

图片

 

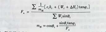
式(4-4)仍然无法求解。毕肖甫进行了简化,假定△H=0,认为条块间只有水平作用力P;而不存在切向H;或者条块两侧的切向力相等,于是式(4-4)进一步简化为

 

图片


式(4-6)就是简化毕肖甫公式,mθi由式(4-5)计算得到,式中参数mθi包含安全系数Fs,因此不能直接求出安全系数,而需要采用试算的办法,迭代求解Fr值。由于简化毕肖甫法考虑了条块间水平力的作用,得到的安全系数比瑞典条分法略高一些,更接近实际值,精度较高,是目前常用的一种方法。

3.强度折减法

强度折减法将土的抗剪强度除以折减系数Fr,直接用于有限元计算。如果计算的边坡正好失稳破坏,所用的折减系数就等于边坡稳定安全系数。土的强度折减公式为

 

图片

 

这样

 

图片

 

式中,参数ψrCr,为折减后的强度指标,将其用于有限元计算的本构模型中,折减系数Fr1.0逐渐增大,最后达到整体失稳时的折减系数就等于安全系数,即Fr=Fs

在强度折减法中,判断边坡破坏失稳的依据主要有计算数值不收敛、塑性区发展贯通和特征部位位移突变等。

4.总应力法和有效应力法

在尾矿坝坝体中因渗流场的原因存在着孔隙水压力,作用在滑动弧面AC上的孔隙水压力垂直于作用面,即作用方向垂直于滑动弧面、指向圆心,如图4-13所示。取土条i进行受力分析,将土条重力Wi分解成法向力Wicosfθi和切向力WisinθiWisinθi是滑动力,对圆心产生滑动力矩MsiWicosθi是土条作用于滑动面上的法向力,如果将其减去孔隙水压力uili剩余部分(Wicosθi-uili)在滑动面上对土条产生摩擦阻力Tfi=(Wicosθi-uilitanψ',摩擦阻力对圆心产生抗滑力矩MRi,这种分析方法称为有效应力法。因为这时孔隙水压力已被扣除,摩擦阻力完全由有效应力计算,抗剪强度指标采用有效强度指标ψ'。

 

图片

 

另一种分析方法是计算摩擦阻力时不扣除孔隙水压力,摩擦阻力直接用式Tfi=Wicosθitanψ计算,ψi是总应力指标,这就是总应力法。总应力法依靠不同的试验方法得出适当的强度指标c、ψ值来代替土体中孔隙水压力对强度的影响,这是总应力法的实质。用有限的试验方法去模拟千变万化的孔隙水压力状态,可能会产生较大的误差,这是总应力法的缺点。而有效应力法概念清楚,结果可靠,如果孔隙水压力能够比较容易求出,首先选用有效应力法。如果孔隙水压力难以准确计算,就采用总应力法。这两种方法在尾矿坝稳定计算中应用都比较多。正确使用有效应力或总应力法及选取合适的抗剪强度指标,是尾矿坝稳定性分析的关键问题。

尾矿库在正常使用过程中,尾矿坝堆坝上升速度一般比较慢,库内水位变化较小,坝体中的超静孔隙水压力已基本消散,形成比较稳定的渗流场,坝体内各点的孔隙水压力均能曲流网确定,原则上采用有效应力法而不是总应力法。

有效应力法的瑞典条分法稳定安全系数计算分式为

 

图片

 

有效应力法的简化毕肖甫法稳定安全系数计算分式为

 

图片


如果尾矿坝堆坝上升速度比较快,下层坝体来不及排水固结,存在超静孔隙水压力,荷载增加,而有效应力和抗剪强度增加不多,容易造成坝体失稳。这是影响尾矿坝稳定非常不利的条件,所以堆坝上升速度是坝体稳定的控制因素。对于这种情况,可采用总应力法和有效应力法。总应力法不用计算孔隙水压力变化和分布,比较简单。总应力法的瑞典条分法坝坡稳定安全系数计算公式为

 

图片


(二)稳定计算要求

尾矿库初期坝与堆积坝的抗滑稳定性根据坝体材料及坝基的物理力学性质经计算确定。计算方法采用简化毕肖普法或瑞典圆弧法,地震荷载按拟静力法计算。可行性研究阶段,新建尾矿坝可不进行坝体稳定计算,扩建或加高的尾矿坝应进行坝体稳定计算。初步设计阶段应对坝体进行稳定计算。一等及二等尾矿库在尾矿坝堆至1/3~1/2最终设计总坝高,三等及三等以下的尾矿库在尾矿坝堆至1/2~2/3最终设计总坝高时,应对坝体进行全面的工程地质和水文地质勘察对于尾矿性质特殊,投产后选矿规模或工艺流程发生重大改变,尾矿性质或放矿方式与初步设计相差较大的情况,可不受堆高的限制,根据需要进行全面勘察;根据勘察结果,由设计单位对尾矿坝做全面论证,以验证最终坝体的稳定性和确定后期的处理措施。

根据不同运行工况,尾矿坝稳定计算的荷载按表4-8进行组合。

 

图片

图片

图片


矿坝坝体材料及坝基土的抗剪强度指标类别,根据强度计算方法与土的类别按表4-10取得。

新建尾矿库尾矿坝的稳定计算断面根据颗粒粗细程度和尾矿的固结度进行概化分区。各区尾矿的物理力学性质指标按类似尾矿坝的勘察资料或按《尾矿设施设计规范》(GB50863)确定。扩建、改建及中期论证的尾矿库尾矿坝稳定计算断面,根据勘察资料进行概化分区。一级和二级尾矿坝的地震设计烈度按批准的场地地震安全性评价结果确定。三级及三级以下的尾矿坝可采用现行国家标准《中国地震动参数区划图》(GB 18306)中的地震基本烈度作为地震设计烈度,当尾矿坝溃决产生严重次生灾害时,尾矿坝的地震设防标准应提高一档。除一级和二级尾矿坝外,场地设计基本地震加速度按表4-11选用。


图片

 

(三)抗震要求

1.抗震计算要求

尾矿坝的抗震计算包括地震液化分析和地震稳定性分析,一级、二级、三级尾矿坝还应进行地震永久变形分析。四级和五级尾矿坝,地震液化分析可采用简化计算分析法,如剪应力对比法一级、二级、三级尾矿坝,地震液化分析采用时程分析法。尾矿坝地震稳定分析采用拟静力法,按圆弧法进行验算;设计烈度为9度地区的各级尾矿坝和一级、二级、三级尾矿坝,抗震稳定分析除采用拟静力法外,还采用时程法进行分析,综合判断坝体的地震安全性。采用时程法计算分析时应符合下列要求。

1)按材料的非线性应力应变关系计算地震前的初始剪应力状态。

2)采用室内动力试验测定材料的动力变形特性和抗液化强度。

3)采用等效线形或非线性时程分析法求解地震应力和加速度反应。

4)根据地震作用效应计算可能滑动面的抗滑稳定性,并计算由地震引起的坝体永久变形。

5)至少选取2~3条类似场地和地震地质环境的实测地震加速度记录和一条拟合人工地震加速度时程。

6)人工地震加速度时程的目标谱应为场地的反应谱。

7)地震加速度时程的峰值应为场地设计基本加速度值。

8)合成地震加速度时程的持续时间可按表4-12取值。

 

图片

 

2.抗震构造措施

地震区的尾矿坝应满足以下抗震构造要求

①上游法筑坝的外坡坡度不大14°。

②尾矿坝的干滩长度不小于坝体高度,且不小于40m。

③一级、二级、三级尾矿坝下游坡面浸润线埋深不小于6m,四级、五级尾矿坝不小于4m。

为提高尾矿坝的地震稳定性,可采取下列抗震构造措施

①控制尾矿坝的上升速度。

②放缓下游坝坡的坡度。

③在坝基、坝体内部和下游坝坡设置排渗设施。

④在坝体下游坡面增设反压体。⑤采取加密法加固下游坝坡和沉积滩。